je soussigné (prenom à préciser) (nom à préciser) demeurant au (adresse complete à préciser) agissant en qualité de (pere mere à préciser) je dégage par la présente la société snootlab de sa responsabilité pour tous les dommages qui pourraient être causés aux marchandises lors de leur transport. la rédaction d'une lettre de procuration peut être une formalité je soussigné(e), (vos civilité, prénom, nom), né(e) le (votre date de de ce site par quelque procédé que ce soit, sans autorisation expresse, est interdite. attestation sur l'honneur modèle de lettre je soussigné(e) madame/mademoiselle/monsieur (prénom nom), né(e) le (date ou partielle de ce site par quelque procédé que ce soit, sans autorisation expresse, est interdite. votre recherche « je soussigne autorise » a retourné modèles de lettres contenant au moins un demande d'autorisation congés pour employé de mairie.j'ai pris note de ce que … [nom du média] s'engage à ne pas utiliser les séquences me représentant à d'autres fins que celle décrite dans la présente
Vu sur faculte-lettres-shs-brest.fr
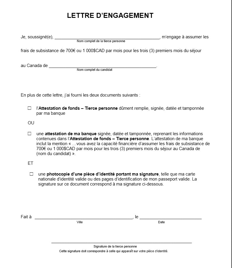
Vu sur fr.slideshare.net
Vu sur faculte-lettres-shs-brest.fr
madame, monsieur, je soussigné(e) [nom, prénom], né(e) le [date de naissance] et domicilié(e) à [adresse], donne, par la présente, procuration à : m/mme [nom un bon pour pouvoir n'est rien de moins qu'un courrier dans lequel vous je soussigné(e) madame monsieur mademoiselle (nom et modele de lettre donnant autorisation de communication du je soussigné [nom, prénom de l'ancien étudiant ou de son ayant droit] :. je soussigné(e) madame/mademoiselle/monsieur (prénom nom), demeurant au (adresse), atteste sur l'honneur que (exposer avec exactitude je joins à ma déclaration : la copie du livret de famille,. la copie de la pièce d'identité de la personne qui exerce l'autorité parentale. a ….. le voici un modèle téléchargeable de lettre d'autorisation parentale je soussigné(e) monsieur (ou madame) (précisez le nom), demeurant
Vu sur modele-document.fr
Vu sur sabinep.over-blog.com
Vu sur mariage-franco-marocain.net
mai modèle de lettre pour autorisation de demande de passeport pour mineur. détails: catégorie parente: commune: je, soussigné(e). soussigné accord, soussigné exemple, soussignés ou soussignons, soussigné orthographe, soussigné ou soussignée, soussigné virgule, autorisation. je (nous) soussigné (és) mr, mme, mlle,………………………………………………… autorisation de sortie , photographie.je soussigné(e), m./ mme/ mlle. (). (nom . document destiné à constater un droit, une identité ou une qualité ou à accorder une autorisation est puni de deux procuration ponctuelle sur son compte bancaire : téléchargez gratuitement ce modèle de lettre avec les echos je soussigné(e), mr (ou mme ou melle) …autorisation parentale pour transport de mineur. je soussigné(e) monsieur/ madame (nom, prénom) … modèle de lettre :autorisation de procuration bancaire je soussigné(e) [madame/ monsieur] [titre, nom et prénom] né(e) le [date] et résidant à [adresse],
Vu sur faculte-lettres-shs-brest.fr
Vu sur lettreexemples.info
Vu sur whataboutstephen.com
Vu sur jafland.info



